In this video I go over the proof of the derivative of ax or the general exponential function as well as explaining why the function ax is only defined for when a is greater than 0.
Watch Video On:
- DTube: https://d.tube/#!/v/mes/QmRAd1CMPJiH6hnHR32nftHSVke6bRGfmgmQXo37oN8R55
- BitChute: https://www.bitchute.com/video/5NjzpLWiZGWM/
- YouTube: https://youtu.be/EiUJ_V69a_Q
Download Video Notes: https://1drv.ms/b/s!As32ynv0LoaIg55br904xnvuNclxEQ?e=JlL4e1
View Video Notes Below!
Download these notes: Link is in video description.
View these notes as an article: https://steemit.com/@mes
Subscribe via email: http://mes.fm/subscribe
Donate! :) https://mes.fm/donateReuse of my videos:
- Feel free to make use of / re-upload / monetize my videos as long as you provide a link to the original video.
Fight back against censorship:
- Bookmark sites/channels/accounts and check periodically
- Remember to always archive website pages in case they get deleted/changed.
Join my private Discord chat room: https://mes.fm/chatroom
Check out my Reddit and Voat math forums:
Buy "Where Did The Towers Go?" by Dr. Judy Wood: https://mes.fm/judywoodbook
Follow along my epic video series:
- #MESScience: https://mes.fm/science-playlist
- #MESExperiments: https://steemit.com/mesexperiments/@mes/list
- #AntiGravity: https://steemit.com/antigravity/@mes/series
-- See Part 6 for my Self Appointed PhD and #MESDuality breakthrough concept!- #FreeEnergy: https://mes.fm/freeenergy-playlist
NOTE #1: If you don't have time to watch this whole video:
- Skip to the end for Summary and Conclusions (if available)
- Play this video at a faster speed.
-- TOP SECRET LIFE HACK: Your brain gets used to faster speed. (#Try2xSpeed)
-- Try 4X+ speed by browser extensions or modifying source code.
-- Browser extension recommendation: https://mes.fm/videospeed-extension
-- See my tutorial to learn more: https://steemit.com/video/@mes/play-videos-at-faster-or-slower-speeds-on-any-website- Download and read video notes.
- Read notes on Steem blockchain #GetOnSteem
- Watch the video in parts.
NOTE #2: If video volume is too low at any part of the video:
- Download this browser extension recommendation: https://mes.fm/volume-extension
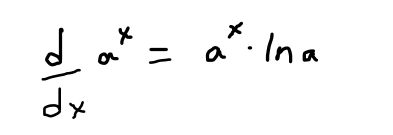
Derivative of ax

If a > 0, then:

Note that if a < 0, then we have the following undefined scenario:

Recall Definition: ax = ex ln a


