[수학, 계산] 제타함수의 다양한 정의-3 // Analytic continuation-1

in #kr-math7 years ago (edited)

Analytic continuation of zeta function

자 먼저 Re(s)> 0 인 경우의 analytic continuation 에 대해서 알아보자. 오늘 할 일은 일단 s=1 에서 zeta 함수가 simple pole 을 가진다는 것과 그리고 s=1 주위로 gamma 함수를 Laurent expansion (일반 실함수, 다변수 함수의 테일러 시리즈) 형태를 알아보려고 한다.


먼저 간단히 다음과 같이 summation 을 적분 형태로 바꿀 수 있다.

image.png

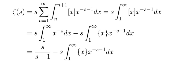
자 이제 x 를 정수 부분과 소수 부분으로 쪼개보자.

image.png

이러면 [x] 는 항상 정수일 것이고, 예를 들어 x 가 [n,n+1) 에 속한다면 [x]= n 이 된다. 이를 이용하면 제타함수를 다음과 같이 적절히 분해 할 수 있다.

image.png

이 표현식의 장점은 원래의 제타 함수는 Re(s)>1 에서 정의됬지만 여기서는 Re(s)>0 으로 영역이 확장되었다는 것이다. 여기서 s/s-1 항은 s=1 에서 simple pole 을 가진다는 것을 말해준다.

이를 통해 우리는 다음과 같은 로랑 전개를 할 수 있다.

Laurent expansion of zeta function

먼저 이번 항목에서 보이고 싶은 결론부터 써보자.

image.png

자 여기서 gamma 는 오일러 상수를 의미하고 gamma_n 은 Stieltjes 상수를 의미한다. 얘네들의 정의는 다음과 같다.

image.png

오일러 감마 상수는 이전의 감마함수 포스팅에서도 만나 본 상수이다. [감마함수의 곱의 정의, 혹은 감마함수를 전개할 때 이 상수가 등장한다. ]

자 일반적으로 실수 폐구간, [a,b] 에 정의된 함수 f(x) 를 합할 때 다음과 같은 식을 전개할 수 있다.

image.png

자 이제 제타함수를 분리해보자.

image.png

첫줄에서 한 짓은 원래 1부터 무한대의 합을 1 과 2부터 무한대의 구간으로 나눈 것이고, 두번째 줄에서는 2부터 무한대의 구간을 위에 식을 이용하여 전개한 것이다.

자 여기서도 s=1 에서 pole 을 갖는다는 것을 알 수 있긴 하다. [앞에서도 이를 확인했었다.] 자 Laurent series expansion 을 하면

image.png

이런 식으로 쓸 수 있다. 이 계수를 구해보자.

참고로 앞에서 구했던 식에선 s/s-1 이 있어 a_0 를 바로 읽어내기가 쉽지 않다. 그렇기에 번거롭지만 이 계산을 또 한 것이다. 하지만 a_n (n>0) 인 경우에는 앞의 식을 이용하면 더 쉽게 계수를 읽어낼 수 있다.

image.png

자 이제 고차 항들을 구해보자.

image.png

k 계수는 다음과 같은 k 번 미분에서 구할 수 있다.

image.png

저 중간과정에 사용한 계산은 사실 고등학교 때의 지수함수 미분에 불과하다.

image.png

image.png

좀 더 쉬운 방법

좀 더 쉬운 방법이 있다. [ 이 방법은 Re(s)>1 인 경우에 성립한다.]

image.png

마지막에 m 을 무한대로 보내면 정확히 제타함수의 Laruent series expansion 과 같은 형태가 된다.

다음번 포스팅에는 가장 잘 알려진 제타 함수의 해석적 확장에 대해 알아보고, (Jacobi theta 함수를 이용한) 이를 이용해 zeta 함수의 functional equation 과 Reflection functional equation 을 유도해보자. 이 계산들에서 이전의 감마함수 계산들이 사용된다.

감마 함수 관련 포스팅

[수학, 계산] 감마 함수의 정의-1 :팩토리얼, 가우스, 오일러의 정의
[수학, 계산] 감마 함수의 정의-2, 그 나머지 편
[수학, 계산] Euler-reflection formula - 버전1 : Basel problem 을 이용한 풀이
[수학, 계산] Euler-reflection formula - 버전2 : 복소 함수를 이용한 풀이
[수학, 계산] Euler-reflection formula - 버전3 : 미분방정식을 이용한 풀이
[수학, 계산] 감마함수의 전개 1-기본편
[수학, 계산] 감마함수 전개 2 : 계산 및 응용

제타함수 관련 포스팅

-[수학, 계산] 제타함수의 다양한 정의-1 정수 지수편
-[수학, 계산] 제타함수의 다양한 정의-2 디리클렛 에타 함수 //Binomial transformation
-[수학, 계산] 제타함수의 다양한 정의-3 // Analytic continuation-1
-[[수학, 계산] 제타함수의 다양한 정의-4 // Analytic continuation-2]

-[수학, 계산] 제타함수 계산법
-[[수학, 계산]zeta 4 : version 1 삼각함수 이용]
-[[수학, 계산] zeta 4 : version 2 푸리에 전개]
-[수학, 계산] zeta 4 : version 3 파사발 정리
-[수학, 계산] zeta2

Sort:  

훌륭하십니다.
관련된 포스팅이 지속된다면 좋은 수학 교재가 될것 같네요!

감사합니다! ㅎㅎ

예전 처럼 계산 포스팅들을 좀 더 자주 올려야 할까요? ㅎㅎ

수학이 참 어렵게 느껴지는 학문임에도 모든 분야에 기초적으로 적용되니, 님께서 많은 수학 관련 포스팅을 올려주신다면 커뮤니티 전체에 커다란 이익이 될것 같네요.
기대하면서 팔로우 할께요!

안녕하세요 ㅎㅎ

저도 팔로우 했습니다 ㅎㅎ

예전부터 수학, 과학 관련 포스팅들을 꾸준히 올려왔습니다

초창기에는 이런 계산 유형이나 유명한 정리 문제들을 중심으로 대중적인 내용 소개나 논문 소개 글들을 썼었고

작년 부터는 좀 더 대중적인 수학 내용과 관련된 퀴즈 포스팅을 시작했습니다

수학 퍼즐을 좋아하시면 한번 참여해보세요~

Hi @beoped!

Your post was upvoted by @steem-ua, new Steem dApp, using UserAuthority for algorithmic post curation!
Your UA account score is currently 3.725 which ranks you at #5428 across all Steem accounts.
Your rank has improved 232 places in the last three days (old rank 5660).

In our last Algorithmic Curation Round, consisting of 366 contributions, your post is ranked at #118.

Evaluation of your UA score:
  • You're on the right track, try to gather more followers.
  • The readers like your work!
  • Try to work on user engagement: the more people that interact with you via the comments, the higher your UA score!

Feel free to join our @steem-ua Discord server