
안녕하세요. 훈하니 @hunhani입니다.
@beoped 님과 @yurizard 님께 자극을 받고 저도 기초적인 수리물리 내용의 포스팅을 도전해보기로 마음먹었습니다. 두 분에 비하면 한참 못 미칠 내용 혹은 이미 중복된 내용을 다룰 수도 있겠지만 애교로 봐주시겠죠? 그동안의 다른 물리학 시리즈와 달리 어쩔 수 없이 수식을 포함해 설명할 수밖에 없고 그렇다고 모든 개념을 풀어 전해드리기에는 내용이 방대합니다. 때문에 수식이 왜 이렇게 표현되고 어떻게 도출되는지 수학적으로 파고드는 것은 일반인 입장에서 글 내용을 더 어렵게 느끼게 만들 것 같더군요. 따라서 해당 수식이 결과론적으로 어떤 의미를 지니는지 어떻게 사용되는지 등에 초점을 맞춰 작성하도록 하겠습니다.


라게르 다항식과 라게르 연관 다항식
Chapter 11. 구면 조화 함수에서 우리는 실제로 양자역학에서 구 대칭성의 퍼텐셜을 갖는 수소 원자의 파동함수를 슈뢰딩거 방정식을 이용하여 구하는 과정을 살펴보았습니다. 슈뢰딩거 방정식을 Chapter 9. 좌표계 별 헬름홀츠 방정식의 일반해에서 알아보았던 전개 방법을 사용하여 구의 반지름 r에 대한 식을 풀어내면 다음과 같죠.
수소 원자의 퍼텐셜 에너지 V(r)은 다음과 같이 구의 반지름 r에만 관련되므로 구 대칭성을 갖고 있지요.
이제 위 슈뢰딩거 방정식의 전개식을 좀 더 간단하게 나타내기 위해 다음과 같이 치환을 합니다.
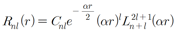
이 식의 해를 나타내면 다음과 같은데요.
위 식의 상수 Cnl과 α는 아래와 같이 보어 반지름 a0로 표현됩니다.
상수를 제외하고 남은 L에 대한 식을 라게르 연관 (associated Laguerre) 다항식이라고 합니다. 정리하자면, 수소 원자의 파동함수를 슈뢰딩거 방정식을 이용하여 구하는 과정에서 구의 반지름 r에 대한 전개식의 해가 바로 라게르 연관 다항식으로 표현되는 것이라고 할 수 있죠.
라게르 연관 다항식을 다루기 전에 먼저 라게르 다항식에 대해 알아보겠습니다. 라게르 다항식은 라게르 연관 방정식의 해가 되는 함수입니다. 즉, 라게르 연관 다항식이 라게르 다항식을 포괄하는 상위 개념이라고 생각하시면 됩니다.
라게르 (Laguerre) 다항식은 아래 라게르 미분 방정식의 해입니다. (단 n은 정수)
위 라게르 미분 방정식에 급수해법을 적용하여 라게르 다항식을 풀어내면 다음과 같습니다.
이 라게르 다항식은 아래의 생성 함수를 이용하여 구할 수도 있죠.
라게르 다항식의 몇 가지 성질을 소개합니다.
라게르 연관 다항식은 라게르 다항식으로부터 다음의 관계식을 통해 표현됩니다.
라게르 연관 다항식 역시 라게르 다항식과 마찬가지로 생성 함수를 이용해 구할 수도 있죠.
뿐만 아니라 로드리게스 (Rodrigues) 공식을 이용하는 방법도 있습니다.
라게르 연관 다항식의 성질을 알아보겠습니다.
수소 원자의 파동함수를 슈뢰딩거 방정식을 이용하여 구하는 과정에서 구의 반지름 r에 대한 아래 전개식의 해가 바로 위 라게르 연관 다항식으로 표현된다는 것이 핵심입니다.
다음 편을 기대해주세요!
지난 이야기
- [돈을 지배하는 물리 법칙] Chapter 0. 서론
- [돈을 지배하는 물리 법칙] Chapter 1. 시세에 작용하는 관성과 작용/반작용의 법칙
- [돈을 지배하는 물리 법칙] Chapter 2. 브라운 운동으로 해석하는 투기 이론
- [돈을 지배하는 물리 법칙] Chapter 3. 천체물리학자가 파헤친 주가와 주가 수익률의 관계
- [돈을 지배하는 물리 법칙] Chapter 4. 멱 법칙과 레비 안정 분포로 알아보는 빈익빈 부익부
- [돈을 지배하는 물리 법칙] Chapter 5. 켈리의 공식으로 알아보는 포트폴리오를 분산하는 방법
- [돈을 지배하는 물리 법칙] Chapter 6. 블랙-숄즈 주가 모형으로 알아보는 주가 변화와 자산의 위험 정도
- [암호화폐가 100% 망한다고? 양자 컴퓨터와 블록체인 보안 이야기] Chapter 0. 서론
- [암호화폐가 100% 망한다고? 양자 컴퓨터와 블록체인 보안 이야기] Chapter 1. 양자 컴퓨터! 도대체 일반 컴퓨터랑 뭐가 다른 거야?
- [암호화폐가 100% 망한다고? 양자 컴퓨터와 블록체인 보안 이야기] Chapter 2. 놀라운 자연의 마법, 양자 중첩/얽힘/순간이동
- [암호화폐가 100% 망한다고? 양자 컴퓨터와 블록체인 보안 이야기] Chapter 3. 병 주고 약 주는 양자 컴퓨터? 양자 병렬성과 양자 통신 보안
- [암호화폐가 100% 망한다고? 양자 컴퓨터와 블록체인 보안 이야기] Chapter 4. 큐비트를 이용한 양자 정보 처리
- [암호화폐가 100% 망한다고? 양자 컴퓨터와 블록체인 보안 이야기] Chapter 5. 양자 정보 세상을 위해 극복해야 할 기술적 난관
- [암호화폐가 100% 망한다고? 양자 컴퓨터와 블록체인 보안 이야기] Chapter 6. 양자 컴퓨터 기술 개발! 그래서 어디까지 진행되었나?
- [암호화폐가 100% 망한다고? 양자 컴퓨터와 블록체인 보안 이야기] Chapter 7. 양자 컴퓨터가 블록체인을 죽일 것이다?
- [밤하늘의 물리학] Chapter 0. 서론
- [밤하늘의 물리학] Chapter 1. 우주론의 기원과 진화
- [밤하늘의 물리학] Chapter 2. 정적인 우주와 동적인 우주
- [밤하늘의 물리학] Chapter 3. 연주 시차와 별의 밝기-거리 관계
- [밤하늘의 물리학] Chapter 4. 세페이드 변광성과 외부 은하
- [밤하늘의 물리학] Chapter 5. 허블의 법칙과 우주의 나이, 크기, 팽창률
- [밤하늘의 물리학] Chapter 6. 빅뱅 우주론으로 알아보는 우주의 탄생과 미래
- [밤하늘의 물리학] Chapter 7. 성간 물질과 별의 탄생 과정
- [밤하늘의 물리학] Chapter 8. 허블의 분류를 통해 알아보는 은하의 종류와 형태
- [밤하늘의 물리학] Chapter 9. 은하의 충돌과 분포 및 우주의 거대 구조
- [밤하늘의 물리학] Chapter 10. 성간운의 형태와 별빛의 편광
- [밤하늘의 물리학] Chapter 11. 성간운에서의 화학 반응과 외계 생명체의 단서
- [밤하늘의 물리학] Chapter 12. 별의 진화와 수명
- [밤하늘의 물리학] Chapter 13. 별의 최후와 갈색 왜성, 행성상성운, 백색 왜성, 초신성, 중성자별, 블랙홀의 탄생
- [수리물리학 이야기] Chapter 0. 서론
- [수리물리학 이야기] Chapter 1. 오일러 공식과 테일러 급수
- [수리물리학 이야기] Chapter 2. 크로네커 델타와 푸리에 급수
- [수리물리학 이야기] Chapter 3. 푸리에 해석과 푸리에 계수
- [수리물리학 이야기] Chapter 4. 푸리에 변환 및 역변환
- [수리물리학 이야기] Chapter 5. 팩토리얼과 감마 함수
- [수리물리학 이야기] Chapter 6. 가우스 함수와 가우스 적분
- [수리물리학 이야기] Chapter 7. 원통좌표계, 구면좌표계
- [수리물리학 이야기] Chapter 8. 물리학에서 자주 접하는 미분 방정식
- [수리물리학 이야기] Chapter 9. 좌표계 별 헬름홀츠 방정식의 일반해
- [수리물리학 이야기] Chapter 10. 르장드르 다항식과 르장드르 연관 다항식
- [수리물리학 이야기] Chapter 11. 구면 조화 함수
- [쉽게 풀어 쓴 상대성 이론] Chapter 0. 서론
- [쉽게 풀어 쓴 상대성 이론] Chapter 1. 갈릴레이의 상대성 원리
- [쉽게 풀어 쓴 상대성 이론] Chapter 2. 갈릴레이 변환과 갈릴레이 속도 덧셈 공식
- [쉽게 풀어 쓴 상대성 이론] Chapter 3. 빛의 속도를 찾아서, 맥스웰의 방정식으로 드러난 빛의 정체, 전자기파의 종류
- [쉽게 풀어 쓴 상대성 이론] Chapter 4. 광속 불변의 법칙, 매질을 지날 때의 빛의 속도, 스넬의 법칙
- [쉽게 풀어 쓴 상대성 이론] Chapter 5. 아인슈타인의 상대성 이론이 탄생하기까지
- [쉽게 풀어 쓴 상대성 이론] Chapter Chapter 6. 시간의 상대성, 시간이란 단지 사건이 일어난 순서일 뿐이다.
- [불확정성 원리] 잘못된 통념과 정확한 설명
- [알기 쉬운 물리학] 다양한 물리학 분야와 응집물질물리학 이야기
- [신의 입자] 만물에 질량을 부여하는 입자, 힉스에 대해 알아보자. (상편)
- [신의 입자] 만물에 질량을 부여하는 입자, 힉스에 대해 알아보자. (하편)
- [모든 힘은 어디에서 비롯될까?] 자연계에 존재하는 기본 4가지 힘에 대해 알아보자.
- [도플러 효과] 너와 나의 움직임이 진동수와 파장을 바꾼다?
- [차세대 초고속 이동수단] 하이퍼루프가 왜 특별한지 알아보자!
- [차세대 초고속 이동수단] 하이퍼루프가 지닌 문제점과 그 극복 방안
- [이공계 대학원생 근로계약 체결 관련] 4개 과학기술원 간담회에 다녀왔습니다.
- [건강이 우선] 연구 활동 종사자 특수 건강 진단에 대해 알아보자.
- [수달, 두더지, 고라니, 멧돼지] 멸종위기 천연기념물이 사는 친환경 캠퍼스
- [3D 프린터 대축제] 3D 프린팅 갈라 in 울산
- [미국 물리학회 참석기] (8) 그래핀 연구의 세계적인 권위자 김필립 교수님을 만나다.
- [한국물리학회] 2017년 가을 학술논문발표회 참석기 (1) 학회 소개 및 등록
- [한국물리학회] 2017년 가을 학술논문발표회 참석기 (2) 노벨상 수상자 엇호프트 교수님의 기조 강연, 양자 블랙홀과 시공간의 구조
- [안철수 대표를 만나다] UNIST 잔디밭 토크 콘서트
- [한국물리학회] 2017년 가을 학술논문발표회 참석기 (3) 이휘소 박사 서거 40주년 기념 전시회
- 물리학도가 들려주는 인터스텔라를 더 재밌게 보기 위한 18가지 이야기
- 그래핀 끼워 넣어 꿈의 다이오드 만들기
- 본문에서 사용된 모든 이미지는 구글 이미지에서 가져왔음을 밝힙니다.
- 본문을 작성하는데 있어 위키피디아 내용을 참조하였습니다.

Cheer Up! 많은 사람들이 이 포스팅에 관심을 갖고 있나봐요!
항상 잘 보고 갑니다ㅎㅎㅎ
감사합니다 :)
항상 그렇듯 눈팅만 합니다.
쉽지 않은 내용이지요. 찾아주셔서 감사합니다 ㅎㅎ
문과출신인 저에게는 외계어보다 어렵네요 ㅎㅎ
이공계 대학생들은 다 배우는 내용이지만 전공이 아니시라면 외계어처럼 보이실것같습니다 ㅎㅎ
복잡하지만ㅎㅎ 관련취미나 업을 하시는분들께 유용한 정보가 될것 같네요ㅎ
이공계 대학생들은 다 배우는 내용이지만 정작 이공계 대학생들도 어렵게 느끼는것 같습니다 ㅎㅎ
아.......뭔가 공감 댓글을 적고싶은데... 아....뭐라고 적지요?ㅋㅋㅋㅋ
대문그림... 슈트가 참 잘 어울리십니다ㅎㅎ 투블럭 헤어스타일도요^^
슈트 그림 저도 정말 마음에 든답니다 ㅎㅎ 헤어스타일, 패션, 배경 모두 스팀잇과 정말 잘 어울리죠!
라게르와 로드리게스는 저걸 고안해낸 사람들인가요?ㅎㅎ 한 분야에서 저렇게 이름이 계속 불리는 것은 명예롭다고 생각합니다ㅎㅎ 언젠가 hunhani 공식을 하나 만드심이ㅋㅋㅋ
맞습니다. 저 다항식을 처음 풀어내거나 혹은 해를 구하는 방법을 찾은 수학자들의 이름을 따서 명명한 것이지요 ㅎㅎ 한 분야에 자신의 이름을 올리는 것은 정말 명예로운 것 같습니다!
수식을 보고 무언가 기분이 업되는것이면 수학병에 걸린건가요?
제대로 수학병에 걸리셨는걸요 ㅎㅎ 사실 저도 그런것 같네요~
아~~~공부하고 다시 오겠습니다 ^^
다음글에도 똑같겠지만요 ㅎㅎ
쉬운 내용이 아닌데 찾아주셔서 감사합니다 ㅎㅎ