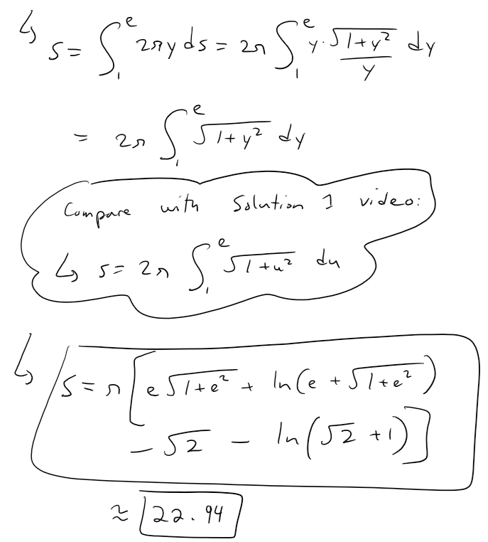
In this video I go over the same example 3 on surface area which I covered in my last video but this time solve it by writing the integral in terms of x, solution 2, as opposed to solution 1 which was in terms of y. In this particular example writing the integral in terms of y skips the need to use the initial substitution for integrals technique which I covered in my last video. But the rest of the solution is the same as that in my last video, which is why I skipped the full derivation of this integral, so make sure to watch my last video as well!
Watch Video On:
- DTube:
- BitChute: https://www.bitchute.com/video/OcBKn1GbrUmc/
- BitTube: https://bit.tube/play?hash=QmPK34E3soQrvBaFdYX2zbMGmBwNuJ9Sb5PVtsk6VAcokZ&channel=111547
- YouTube: https://youtu.be/uGnusctB32o
Download PDF Notes:
View Video Notes Below!
Download These Notes: Link is in Video Description.
View These Notes as an Article: https://steemit.com/@mes
Subscribe via Email: http://mes.fm/subscribe
Donate! :) https://mes.fm/donateReuse of My Videos:
- Feel free to make use of / re-upload / monetize my videos as long as you provide a link to the original video.
Fight Back Against Censorship:
- Bookmark sites/channels/accounts and check periodically
- Remember to always archive website pages in case they get deleted/changed.
Join my private Discord Chat Room: https://mes.fm/chatroom
Check out my Reddit and Voat Math Forums:
Buy "Where Did The Towers Go?" by Dr. Judy Wood: https://mes.fm/judywoodbook
Follow My #FreeEnergy Video Series: https://mes.fm/freeenergy-playlist
Watch my #AntiGravity Video Series: https://mes.fm/antigravity-playlist
Follow My #MESExperiments Video Series: https://mes.fm/experiments-playlist>
NOTE: If you don't have time to watch this whole video:
- Skip to the end for Summary and Conclusions (If Available)
- Play this video at a faster speed.
- TOP SECRET LIFE HACK: Your brain gets used to faster speed. (#Try2xSpeed)
- Try 4X+ Speed by Browser Extensions, HookTube.com, Modifying Source Code.
- Browser Extension Recommendation: https://mes.fm/videospeed-extension
- Download and Read Notes.
- Read notes on Steemit #GetOnSteem
- Watch the video in parts.
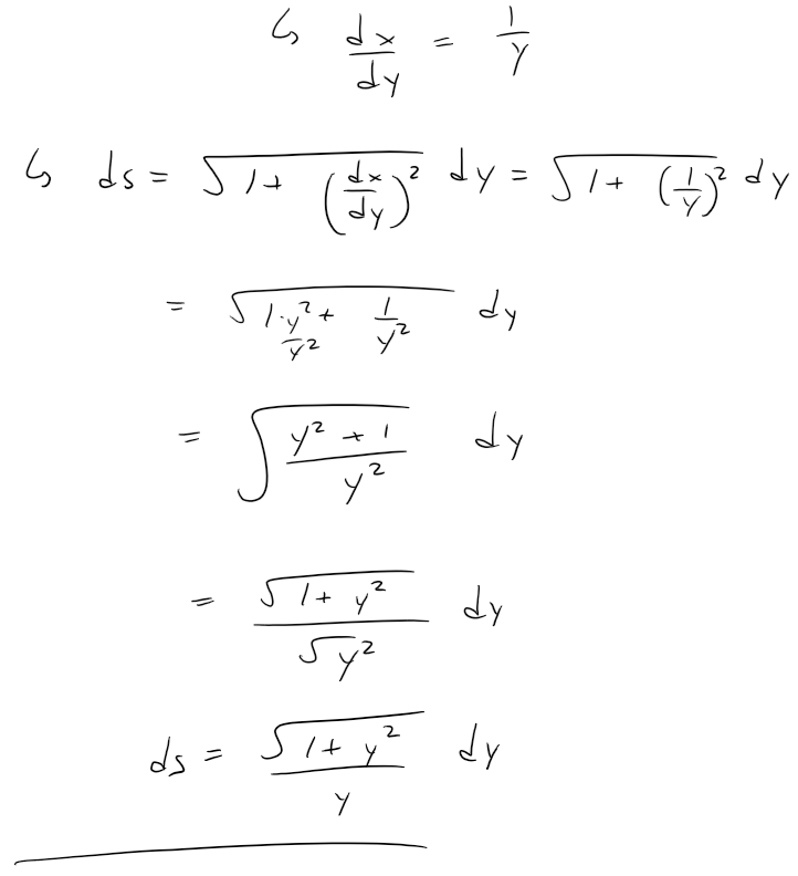
Applications of Integrals: Area of a Surface of Revolution: Example 3: Solution 2: x = ln(y)
Find the area of the surface generated by rotating the curve y = ex, 0 ≤ x ≤ 1, about the x-axis.



