In this video I show how we can use parametric calculus to determine the area of an arch of a cycloid. The first step is to write the integral using the parameter, by following the steps outlined in my earlier video on area. The area of an arch of the cycloid turns out to be 3πr2 which is 3 times the area of the circle that forms the cycloid. Galileo first guessed this result but it was the mathematicians Gilles de Roberval and Evangelista Torricelli that later proved this. Their proofs were more complicated because they did not have access to the more advanced forms of calculus which I have outlined in this video. I go over a brief yet very interesting history lesson on these mathematicians and the determination of the area of a cycloid, so make sure to watch this video until the end!
Watch on VidMe: https://vid.me/albA6
Watch on BitChute: https://www.bitchute.com/video/pnIRjcbGS3tU/
Download PDF Notes: https://1drv.ms/b/s!As32ynv0LoaIhuM-21ZDhQiu-0zAQg
View Video Notes Below!
Download These Notes: Link is in Video Description.
View These Notes as an Article: https://steemit.com/@mes
Subscribe via Email: http://mes.fm/subscribe
Donate! :) https://mes.fm/donate
Reuse of My Videos:
- Feel free to make use of / re-upload / monetize my videos as long as you provide a link to the original video.
Fight Back Against Censorship:
- Bookmark sites/channels/accounts and check periodically
- Remember to always archive website pages in case they get deleted/changed.
Check out my Reddit and Voat Math Forums:
Buy "Where Did The Towers Go?" by Dr. Judy Wood: https://mes.fm/judywoodbook
Follow My #FreeEnergy Video Series: https://mes.fm/freeenergy-playlist
USEFUL TIP: If I'm going too fast or too slow, play this video at a different speed.
- TOP SECRET LIFE HACK: Your brain gets used to faster speed (#Try2xSpeed)
- #Try4xSpeed by Replacing youtube.com with hooktube.com in the video URL ;)
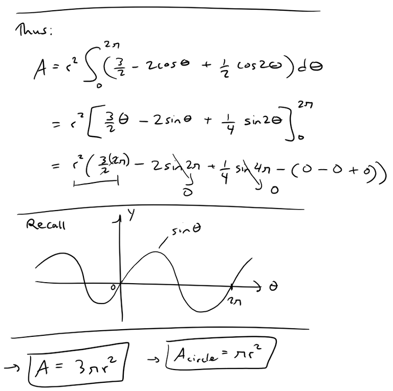
Example: Find the area under one arch of the cycloid:



The result says that the area under one arch of the cycloid is three times the area of the rolling circle that generates the cycloid.
Galileo guessed this result but it was first proved by the French mathematician Roberval and the Italian mathematician Torricelli.
Brief History Lesson
https://en.wikipedia.org/wiki/Gilles_de_Roberval
Retrieved: 27 January 2017
Archive: https://web.archive.org/web/20171024203814/https://en.wikipedia.org/wiki/Gilles_de_Roberval
Gilles de Roberval
Reveal spoiler

Portrait of Gilles Personne de Roberval (1602-1675) at the inauguration of the French Academy of Sciences, 1666, where he was a founding member.

Gilles Personne de Roberval (August 10, 1602 – October 27, 1675), French mathematician, was born at Roberval near Beauvais, France. His name was originally Gilles Personne or Gilles Personier, with Roberval the place of his birth.[2]
Another of Roberval’s discoveries was a very general method of drawing tangents, by considering a curve as described by a moving point whose motion is the resultant of several simpler motions.[3] He also discovered a method of deriving one curve from another, by means of which finite areas can be obtained equal to the areas between certain curves and their asymptotes. To these curves, which were also applied to effect some quadratures, Evangelista Torricelli gave the name "Robervallian lines."[4]
https://en.wikipedia.org/wiki/Evangelista_Torricelli
Retrieved: 27 January 2017
Archive: https://web.archive.org/web/20171024203755/https://en.wikipedia.org/wiki/Evangelista_Torricelli
Evangelista Torricelli
Reveal spoiler

Evangelista Torricelli by Lorenzo Lippi (circa 1647)

Evangelista Torricelli (Italian: [evandʒeˈlista torriˈtʃɛlli] About this sound listen (help·info)); 15 October 1608 – 25 October 1647) was an Italian physicist and mathematician, best known for his invention of the barometer, but is also known for his advances in optics and work on the method of indivisibles.
After Galileo's death on 8 January 1642, Grand Duke Ferdinando II de' Medici asked him to succeed Galileo as the grand-ducal mathematician and chair of mathematics at the University of Pisa. Right before the appointment, Torricelli was considering returning to Rome because of there being nothing left for him in Florence.[2] In this role he solved some of the great mathematical problems of the day, such as finding a cycloid's area and center of gravity. As a result of this study, he wrote the book the Opera Geometrica in which he described his observations.
In your video you mention that you can write the cycloid as a function y = F(x). What would F(x) = ?
That's a good question. If you were to write F(x) out it would be very complicated and likely be a piece-wise function. That is why writing the Cycloid in terms of parametric equations is much better. y = F(x) means that y is a function of x, but luckily we can write both y and x in terms of another parameter θ. Thus x = f(θ) and y = g(θ) = F(x). Hope this helps!
It seems that such a simple curve should be a simple function of y = F(x), but it's not.
Ahh yes. The function was defined on a parametric basis so sometimes it is not that easy to write it in Cartesian coordinates. An example is a circle in Polar Coordinates would be just r = 1, but in Cartesian Coordinates it would be x2 + y2 = 1 which is much more complicated.