In this post we will recall the readers the proof of the well-known formula of compound interest and how it is related with the exponential function. It is worth to mention that the famous mathematical constant e, was "discover" by Jacob Bernoulli in 1680, while studying the compound interest. We will show here this analysis.
The formula for the accumulated capital after n years of compounding an initial capital or principal x0 with an fixed anual interest rate i, and with a compound frequency k, is

Now we show, how to prove this formula.
Let us suppose that you have an initial capital x0 and you deposit it with a fix interest rate i for a period of time, say one year. After one year you have x1 amount of capital, where x1=x0 (1+i). Now you reinvest x1 for the same period of time and at the same interest. After the second year the accumulated capital is x2:
x2=x1(1+i)=x0(1+i)2.
So after n years, if the principal plus interest are compounded at the same fixed interest rate, the accumulated capital is
xn=xn-1(1+i)= ... =x0(1+i)n.
Now we consider a variation of the investment strategy. Your initial capital is x0 and you deposit it for a year with a fix interest rate i, however your capital and interests are paid after six months and you reinvest it. So after six month your accumulated capital is

If you reinvest this amount (compounding the principal and interest), in the next six months (one year after your initial deposit). The accumulated capital is

If you keep this strategy after n years the accumulated capital is

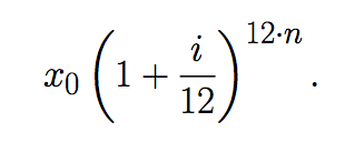
If you modified the strategy, so that the interests are received every month and and they are reinvested (compounded), then the accumulated capital after one year is

and after n years, with the same strategy the accumulated capital is

Now suppose that the interests are paid daily and compounded after payment. The capital accumulated after n years is

So what happens if the interests are paid every second and compounded, or if this is done continuously. What is the formula? The answer is given by the limit

The following is a well-known limit:

Where e is the famous constant, whose rational approximation is 2.71828...
This is the limit, that the Swiss mathematician Jacob Bernoulli worked in 1680.
From this expression follows:

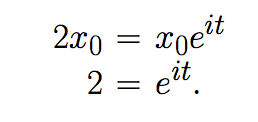
Hence xn=x0ein.
Using this expression, we can answer how long does it take to duplicate the initial capital, assuming we use continuous compounding. In fact, we need xn=2x0, then

Therefore

References:
https://en.wikipedia.org/wiki/Compound_interest
https://en.wikipedia.org/wiki/E_(mathematical_constant)
Thank you for your support.
I knew the compound interest formula, but I didn't know how to derive it. This is really helpful
It is nice to read that you like the post and found it helpful. Thank you for your comment.
Interesante. Precisamente ahora estoy haciendo unos cálculos de interés compuesto con las ganancias de steemit, para un futuro artículo 😉