Quadratic Equation Made Easy By Edumaths

in #tutorial7 years ago (edited)

Solving Quadratic Equation may seem too difficult for some people due to how complex some people view Mathematics to be. Anyway, this is why I am here because I don't like it when people give complaints about how difficult Mathematics is. I am here to make Mathematics easier and comprehensible for you.

You know what that means, it means Hakuna Matata (don't worry) because Edumaths is here.Let's make a brief review about Quadratic Equation. 😀😊

Quadratic Equation

A Quadratic Equation is any type of equation in which the highest power of the variable is always 2. This means that the maximum number or value you can have for any Quadratic Equation must not exceed power 2. This literally means you are expected to get two solutions after solving every Quadratic Equation.

Quadratic Equation is always expressed in the form below ;

ax² + bx + c =0 where a≠0.
The reason why a must not be equal to 0 is because you end up getting a linear equation if a=0 and this is extremely different from Quadratic Equation since you won't get 2 solutions after solving.

Examples of Quadratic Equation are listed below ;

  • x² + 5x +6=0

  • x² +4=0

  • 3x² +2x - 7=0

  • 2x² +4x=0

  • 4x +6x² =7

  • 3 +5x²=9x

From the listed examples, we can observe that the highest power of each equation is always 2 and not more than 2.

Remember you must always get two values or answers when solving Quadratic Equations. This is why i need to make a little brief explanation about the Roots of Quadratic Equation.

Roots Of Quadratic Equation

The roots of Quadratic Equation is known as the two values you get after solving Quadratic Equations. This roots must not be more than two values and they differ depending on the nature of the equation.

In Mathematics, there are 4 different types of numbers which is listed below ;

  • Complex Numbers
  • Rational Numbers
  • Irrational Numbers
  • Real Numbers
    I hope to discuss more about these four set of numbers individually and this means you have to keep checking on my blog if you wish to know more about it. 😊

Since Every Quadratic Equation always have two solutions, this means we can either have the following sets of values after solving Quadratic Equations depending on the type of Quadratic Equation you come across. These roots are listed below ;

  • Real Root Twice
  • Rational Root Twice
  • Complex Root Twice
  • Irrational Root Twice
  • Complex and Real Root
  • Rational and Irrational Root
  • Real and Complex Root
  • Irrational and Complex Root

This implies that one shouldn't get astonished or confused if you end up with any of the above values or solutions. If that is the case, then how can we solve Quadratic Equations?

How To Solve Quadratic Equation

There are three methods of solving Quadratic Equations which are listed below ;

  • Factorization Method
  • Formula Method
  • completing The Square Method

I think we should take this one by one for easy assimilation and your convenience. Which one should we start with? 😀😀

Okay! My mind says I should explain according to that order😊

Solving Quadratic Equation Using Factorization Method

Factorization Method is the most easiest and fastest method used in solving Quadratic Equation. It doesn't involves much stress other than critical thinking. All you need to do is to follow the below steps when solving Quadratic Equation using Factorization Method ;

Consider the Quadratic Equation below

x² + bx +c =0

Step 1=> Look for two numbers whose addition or subtraction must give you letter "b".

Step 2=> The same number you chose in step 1 must give the value "c" when multiplied together.

Step 3=> Write down x² including the two numbers or values you chose either by adding them together or subtracting them in as the leading coefficient of x and write down the constant value without ignoring it's sign ( addition or subtraction).

  • STEP 4=> Factorize and then get your values.

*** This may look ambiguous though but you will surely understand this with the below example**.

Example 1
Find the values of x in the Quadratic Equation below;

  1. x² +5x +6=0

  2. x² - 6x = - 9

Let's eat this delicious meals 😊😀.

Solutions To Each Question Using Factorization Method

x² +5x +6=0
What are the two numbers you can add together and that same number when multiplied must give 6? Start thinking about the values!!

I suggest 4 and 1, 2 and 3,2 and - 5,... I think the exact values are 2 and 3because when multiplied it will give 6.

Now let's solve

x² +5x +6=0

x² +3x +2x +6=0

x(x+3)+2(x+3)=0

(x+2)(x+3)=0

x+2=0 or x+3=0

x= - 2 or x=-3

The values of x is - 2 or - 3.

That's very easy and sweat. Let's try the second question.

x² - 6x=9

Firstly, you have to rearrange in the proper form for easy work.

x² -6x = -9
x² - 6x +9=0

What are the two numbers such that when added together it gives - 6 and when multiplied it gives 9? Isn't that - 3 and - 3?

We now have,

x² - 3x - 3x +9=0
x(x-3)-3(x-3)=0
(x-3)(x-3)=0
x-3=0 or x-3=0
x=3 or 3.
Thus, x =3 twice.

That's all about factorization method. Always remember you need to numbers such that when added together it gives you the coefficient of x in the given Quadratic Equation and when that same numbers are multiplied it gives the exact value of the constant.

I suggest you give this a try ;

Solve the Quadratic Equation using factorization method ;

x² +7x + 12=0

Remember to post the solution on the comment section of this blog so that you can earn your reward for participating.

Let's check the second method out 😊.

Formula Method

The formula method is a popularly known as the Almighty Formula in some part of #wafrica countries. The formula method is very easy to use and it can solve any problem that has to do with Quadratic Equation.

The factorization method is limited to solving some problems but Quadratic Formula isn't restricted to solving any Quadratic Equation problems. It is also the safest method to use.

Don't you think we should see how the Quadratic Formula was gotten or derived? I suggest we need to know about the Derivation of Quadratic Formula.

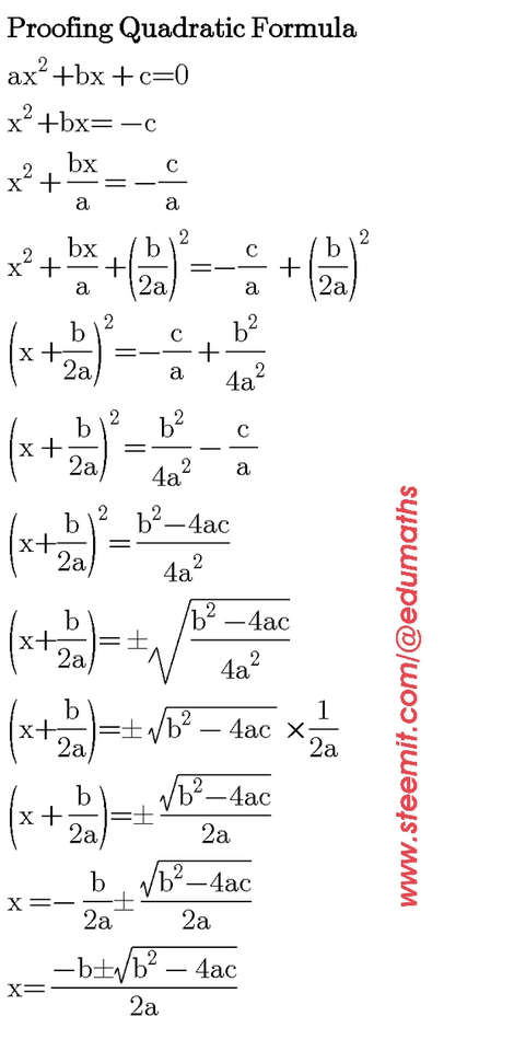
Derivation Of Quadratic Formula

The Quadratic Formula was actually derived from ***"Completing The Square Method" ***. We will discuss more about completing the square method later but let's focus on deriving the Quadratic Formula for now.

The derivation of Quadratic Formula is shown and explained below;

LcTxR7u1XKaa3e4T1EBuBP18JezPvjFFo8gNuE9CiKHBn2tVGVehYvpej7KNRnT6YNDdCXM9dFejwtXGESRt1ZZrHS31dGiBgzmTaEBoDcYLTdEk87hUvWQUUp19YZGXEAcSYGbfndqhbdBohMBxdosA6_1549704371357.png

The coefficient of each variable x² is represented by a, coefficient of variable x is represented by b and the constant is represented by c

You can see how easy the formula was derived. Let's apply the formula in solving an example.

Solve the Quadratic Equation using Formula Method;

x² +5x +6=0

Formula .png

That's just how easy it is when solving Quadratic Equations with Formula Method.

I suggest you solve the question below ;

Solve the Quadratic Equation using Formula Method;

x² + 8x +15=0

The Last But Not The Least Is The Completing The Square Method

The completing the square method is also a convenient method used for solving Quadratic Equations. It was used to derive the formula method and you can see how delicious that was 😀.

The completing the square method involves the below few steps and these steps were applied to get the Quadratic Formula.

ax² + bx +c=0

The general form of Quadratic Equation is given above.

**Move "c" to the Right Hand Side (RHS) . Remember there will be a change in sign after crossing the equality sign.

  • ax² +bx = -c

  • Divide both sides by the coefficient of x² which is "a"

ax²/a +bx/a =-c/a

x² +bx/a =-c/a

  • Add the square of half of the Coefficient of x which is (b/2a)² to both sides.

x² +(b/a)x +(b/2a)² =-c/a +(b/2a)²

  • Simplify the Left Hand Side ( LHS)

(x+b/2a)² = - c/a +(b/2a)²

  • Simplify the RHS and find the LCM

(x+b/2a)² =-c/a +b²/4a²

(x+b/2a)² =b²/4a² - c/a

LCM=4a²

(x+b/2a)² =(b² - 4ac)/4a²

  • Take the Square Root of the LHS

(x+b/2a)=±√[(b²-4ac)/4a²]

  • The Denominator changed from 4a² to 2a by applying the "law of Indices"

(x+b/2a)=±√(b²-4ac)/2a

  • Making x the subject of formula, we now have ;

x=-b/2a±√(b²-4ac)/2a

  • Taking the LCM which is 2a,we have ;

x=-b±√(b²-4ac)/2a

Let's take an Example using the same question 😊.

completing the square .png

I suggest you solve the below Quadratic Equation using Completing The Square Method

x² + 6x +12=0

That's all about solving Quadratic Equation.

Earn Steem For Solving Mathematical Problems

Yes! Don't be surprised about this 😊. You have high chance to earn steem just by solving the three Mathematical problems which i posted in this tutorial.

The amount of steem you will get depends on the post payout. I just hope we have people who supports education just like #steemstem and the remaining few. I am also giving full upvote for posting your solutions in the comment section.

Don't forget to follow me @edumaths to learn more topics in Mathematics in an explicit format. Feel free to ask questions about the part you find difficult as regards to this post. Remember to upvote this post if you found this helpful and you can resteem for the purpose of transmitting Mathematical Knowledge to others.

20190209-110925_p0.jpg

Sort:  

Congratulations @edumaths! You have completed the following achievement on the Steem blockchain and have been rewarded with new badge(s) :

You published more than 30 posts. Your next target is to reach 40 posts.

Click here to view your Board
If you no longer want to receive notifications, reply to this comment with the word STOP

To support your work, I also upvoted your post!

Support SteemitBoard's project! Vote for its witness and get one more award!

Wow! Maths on Steemit? I really love this. This is really impressive. I will have to support this according to my capability 😀😀

Thank you

Good job, @edumaths! You hit on one of my favorite subjects! We can hope that you can draw more towards mathematics because it is true, the majority of people are either afraid of mathematics or they just hate the work involved, because it gets complicated.

@jamerussell you are absolutely right about the point you made.

Thanks for your lovely comment and I hope you understood the topic of this post?

Congratulations @edumaths!
Your post was mentioned in the Steem Hit Parade for newcomers in the following category:

  • Upvotes - Ranked 2 with 710 upvotes

I also upvoted your post to increase its reward
If you like my work to promote newcomers and give them more visibility on the Steem blockchain, consider to vote for my witness!

Hello @edumaths! This is a friendly reminder that you have 3000 Partiko Points unclaimed in your Partiko account!

Partiko is a fast and beautiful mobile app for Steem, and it’s the most popular Steem mobile app out there! Download Partiko using the link below and login using SteemConnect to claim your 3000 Partiko points! You can easily convert them into Steem token!

https://partiko.app/referral/partiko